Standard waveforms
Praat for Beginners
Tutorial: Examples of standard waveforms
- Sine wave
- Triangle wave
- Sawtooth wave
- Pulse wave
- Comparison: sine, triangle, sawtooth, pulse
- Pulse width and spectral slope
- This page introduces some basic geometric waveforms, that have known properties and are useful to remember when studying actual speech (and especially synthesizing speech).
- You should be familiar with waveform diagrams, if not, see Understanding waveforms.
Top
1. Sine wave
- Figure 1 illustrates the waveform of the simplest type of sound, consisting of just one tone, with no other sound mixed in.
 |
Figure 1. A sine wave, or simple tone
|
- The values of the sound pressure scale (-1 to +1) are arbitrary. This is also what you will see when you look at the waveform of a recording in Praat. The unit of pressure is Pascal, but the true Pascal values can only be shown for a recording when that recording has been calibrated.
- The sound pressure rises and falls above and below the atmospheric pressure (0 on the sound pressure scale), alternating between denser and thinner, between compression and rarefaction.
- Now look at the shape of the wave, sinusoidal, the same shape as that of the sine function. It is also periodic. Comparing a cycle of this example to the time scale shows its duration to be 0.01 secs, corresponding to a frequency of 100Hz. This is a tone near the bottom of a the bass singing range or near the bottom of the adult male speaking range.
- A waveform that differs from sinusoidal is complex, composed of more than just a simple tone. It was Jean-Baptiste Fourier (1768-1830) who discovered that any periodic function can be expressed as the sum of sine functions.
Top
2. Triangle wave
- Figure 2 Illustrates another basic waveform, this time triangular.
 |
Figure 2. A periodic triangle wave
|
- This triangle wave has the same 0.01sec cycle duration and 100Hz frequency as the sine wave example. The non-sinusoidal shape shows it is complex. The triangular shape is composed of a series of partial (or harmonic) tones spaced with an interval equal to the cycle frequency. For this example, that means there are partial tones at 100, 200, 300, 400, 500 etc. Hz. The higher partials are weaker than the fundamental.
- This is convenient since the human voice is composed of a similar series of partials, making the triangle a candidate model for simulating the glottal pulse of the voice.
Top
3. Sawtooth wave
- Figure 3 illustrates a special case of the triangle waveform, the sawtooth.
 |
Figure 3. A periodic sawtooth wave
|
- The sawtooth is characterized by one flank being very steep. This example has the same 0.01sec cycle duration and 100Hz frequency as the others.
- The steeper flank of the sawtooth waveform makes it a better candidate model for the voice pulse, the steep flank corresponding to the faster closing phase of the glottal cycle.
Top
4. Pulse wave
Figure 4 illustrates a pulse waveform.
 |
Figure 4. A periodic pulse wave
|
- A pulse is characterized by part of the cycle showing no activity at all. This example has the same 0.01sec cycle duration and 100Hz frequency as the others.
- Note the vertical scale in this example represents airflow, to simulate the glottal cycle (the glottal pulse is a puff of air released during the glottal cycle while the glottis is open, the vocal folds being closed during the remainder of the cycle).
- This is an extreme example of a pulse, lasting a mere 3% of the cycle. Just one such pulse on its own would be a typical transient, a sudden and brief burst of acoustic energy.
- A periodic pulse wave is also a suitable model for the voice since it emulates the closed phase of the glottal cycle. This particular pulse is unrealistic, however, since all its partials are equally strong. In contrast, the partials of the voice are weaker towards the higher frequencies, typically tailing off at about -12dB/octave.
- Unhappy about dB? Remember that every 6dB means double sound pressure. So 12dB (6db+6db) means four times sound pressure (×2 ×2). Negative dB means inverted, so -12dB (-6dB-6db) means a quarter sound pressure (×½×½). Remember also that an octave is an interval where frequency is doubled (or halved). So the expression -12dB/octave means, for example, that sound pressure is quartered from 100 to 200Hz, then quartered again to 400Hz, and so on.
Top
5. Comparison: sine, triangle, sawtooth, pulse
- This is a comparison of these four waveform examples, played in order: sine, triangle, sawtooth, pulse. Note particularly that the sine wave has no overtones. The others have overtones that are successively stronger from triangle to pulse.
Top
6. Pulse width and spectral slope
- In the previous examples, overtones were introduced by changing the cycle shape (from sinusoidal to one of the others). Overtones were strengthened by steepening the later flank of the cycle (from triangle to sawtooth or pulse). The pulse example also introduced a closed part of the cycle.
- In everyday speech, the closed phase is typically less than half of the glottal cycle, usually very much less. Some voices have no closed phase at all. Voice training for, say, opera singing or public speaking, would aim to lengthen the closed phase to 50% or more of the glottal cycle, making the overtones stronger and more audible.
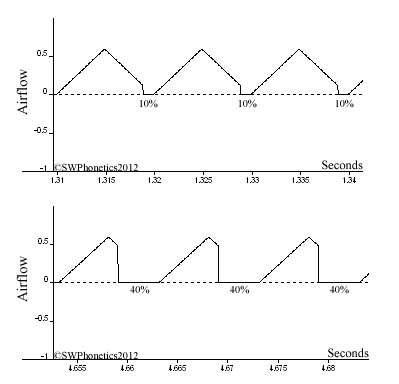
- This section demonstrates the effect of the closed part by varying the pulse width within a cycle. Starting from a triangular pulse, a closed phase was created by truncating the end of the triangle. Each cycle is still 0.01 secs, the frequency 100Hz.
- Figure 5 shows two examples, and Fig. 6 shows the corresponding spectra.
 |
Figure 5. Two pulse examples obtained by truncating the cycles of the triangle wave. The first has a pulse width of 90% of the cycle, the second 60% (corresponding to glottal closure of 10% and 40% respectively).
|
 |
Figure 6. The spectra of the two pulses illustrated in Fig. 5, showing that the higher overtones were about 7dB stronger when the pulse width was decreased from 90% to 60% of the cycle (corresponding to glottal closure of 10% and 40% respectively). This is one of the effects that voice training aims to achieve.
|
- Compare these two pulse waves, first the 10% closure then the 40% closure in the cycle.
- The difference you hear is the respective level of the higher frequency overtones (stronger in the second example).
Top
©Sidney Wood and SWPhonetics, 1994-2012